Expungement (Cleaning up a Criminal Record): Understanding Sacramento Court’s Expungement Packet
This guide contains samples with instructions for all of the expungement forms include in the Sacramento County Superior Court’s Expungement / Dismissal Information and Petition Packet.
This packet also includes the Petition and Order Pursuant to Penal Code 1203.3, 17(b) (Sac Local Form CR-9), which is used to terminate probation early. If you do not need to do this, skip that form.
The court also offers additional information on their Expungement / Dismissal page, and a presentation guiding you step by step on how to fill the forms out.
The court’s Self Help Services offers an online guide to filling the forms out at Expungement Walkthrough – Sacramento Superior Court
Templates and Forms
For More Information
On the Web:
California Courts Self Help Website: “Clean your record”
This website includes a section with information and instructions on cleaning up your criminal record.
Criminal Justice and Employment Initiative, Cornell University: “How to Read a California Department of Justice Criminal History Report (RAP Sheet)”
This short guide includes an image of a California RAP sheet with notations on what the different components represent.
At the Law Library:
How to Seal Your Juvenile and Criminal Records in California
KFC 1194 .Z9 S53 (Self-Help)
California Criminal Defense Practice
KFC 1155 .C342 Chap. 103
Electronic Access: On the Law Library’s computers, using LexisAdvance.
California Criminal Law Procedure and Practice
KFC 1155 .C35 Chap. 4
Electronic Access: On the Law Library’s computers, using OnLaw.
Samples
If images do not appear, download them as a pdf.
Petition to End Probation Early (Local Form CR-9)

Petition for Dismissal (CR-180)




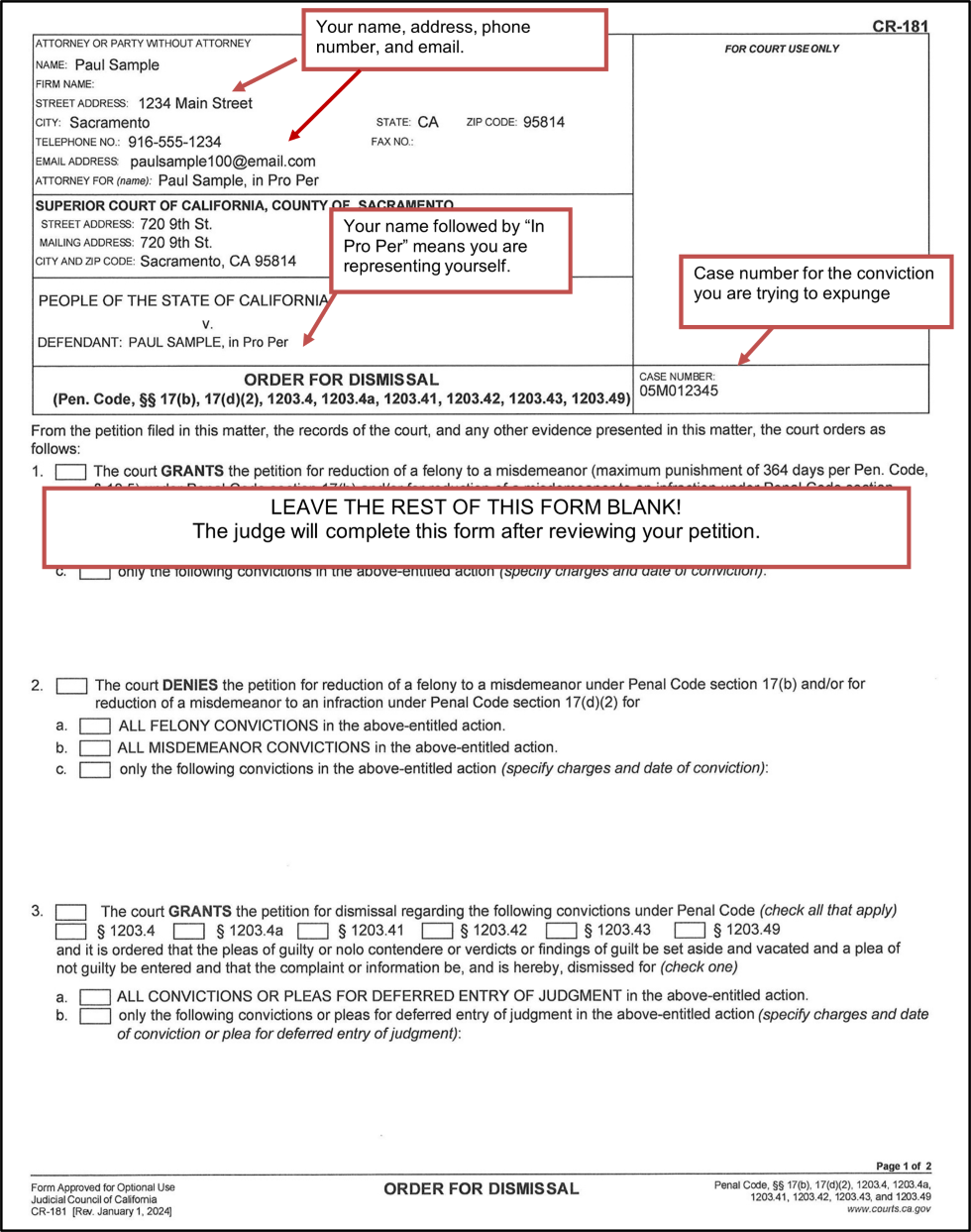
Order for Dismissal (CR-181)


Criminal History Transcript (Rap Sheet)

If samples do not show, download PDF versions here.
This material is intended as general information only. Your case may have factors requiring different procedures or forms. The information and instructions are provided for use in the Sacramento County Superior Court. Please keep in mind that each court may have different requirements. If you need further assistance consult a lawyer.
